How To Fold A Piece Of Paper In Half More Than Seven Times
Featured in Ripley's Believe It or Not!
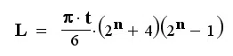
![]()
Or Not
Today: How many times can paper be folded in half?
Although doing so is mightily difficult and can take some clever thinking, many people still believe it is impossible to fold a piece of paper in half more than seven times. In truth, it can be and has been done, though you’re not likely to be able to achieve this feat without help.




